新闻公告

2018年护理招聘录用人员相关安排的通知

发布时间:2018-08-14

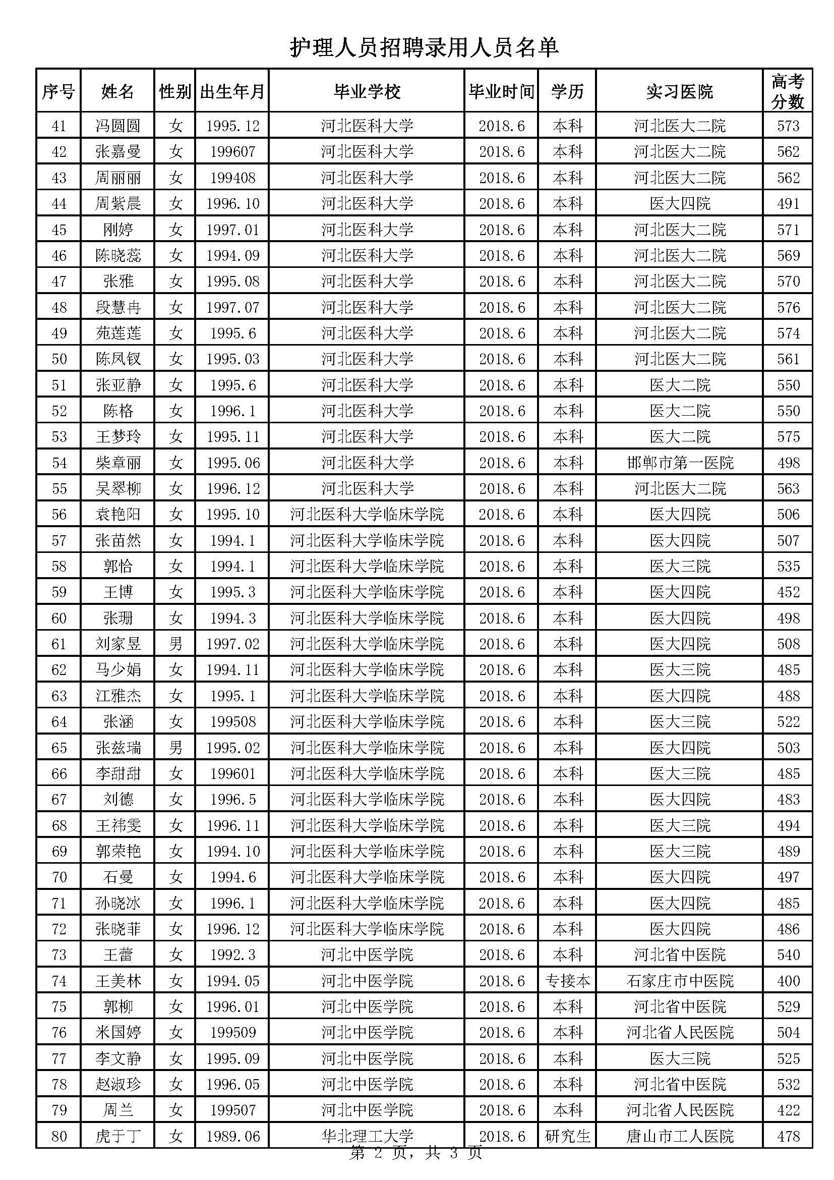
根据医院护理人员招聘计划及招聘条件,经对应聘人员进行笔试、面试及复试程序,根据考试成绩,医院决定拟聘用以下98人,具体名单见下表,请以下人员于8月25日早7:00到医院体检中心(北院区4楼)查体,并于9月3日上午8:00到医院图书馆三楼会议室报到。

人事处

2018年8月14日