研究方案撰写指南使用说明:
1. 《临床研究方案撰写指南》是为申请河北医科大学第二医院科研伦理委员会伦理审查的研究者撰写研究方案时提供的参考;
2. 此指南是针对临床研究的,对于生物医学、公共卫生、流行病、口腔、社会行为学等领域的研究,使用时请参考方案设计的主要方面。
3. 不鼓励照搬本指南语言,而鼓励研究者根据自己研究的特点撰写研究方案;
4. 以下用斜体字标注的是为方便研究者理解本指南内容而提供的事例。
每个设计良好的临床试验都应该有一份详尽的、设计科学的试验方案,即一份准确描述如何进行研究以及如何收集分析临床数据的综合计划。为帮助临床研究项目申办者制定临床试验设计方案及向河北医科大学第二医院科研伦理委员会申报研究项目伦理审查,特参考北京大学生物医学伦理委员会提供的临床研究方案撰写指南制定该指南。
本文将根据临床研究的两大类别,分别是观察性研究(用于探索,提出问题,建立假设)和证实性研究(用于验证假设,下结论)来进行方案撰写格式的阐述。
在医学研究中,观察性研究主要用于评估潜在有害暴露对健康的影响及环境暴露对公共卫生的影响,描述疾病或治疗模式的流行病学,研究罕见转归(如某新药不良事件的上市后监测)或确定病因,以及为随后的随机对照试验提供研究假设等。而证实性研究是指研究者据研究目的从研究总体中随机抽取部分观察单位,按要求随机分配受试对象,合理安排处理因素,以对比和分析处理因素施加于受试对象后所产生反应或效应间差别的一系列研究方法,一般会有干预存在。对于观察性研究和证实性研究相互关系,详见下图:
具体格式见下:
1 一般格式要求
做到封面、目录、页眉、页脚完全。页眉页脚中需包括研究题目、方案版本号、日期和页码等信息。
2 标题页
标题:应用常用的专业术语表述研究设计。
对于观察性研究,建议在标题中加入“队列研究、病例对照研究或横断面研究等”字眼,如:矽肺宿主、环境影响因素的病例对照研究;对于证实性研究建议加入诸如“随机对照”字眼,如评价××胶囊治疗××疾病的有效性、安全性的随机对照研究。
日期,版本号
课题负责人 单位 科室
课题负责人或协调员联系信息
3 签名页
以签名表示已经阅读和批准此文件提出的方案,并对方案相关内容予以认同。签名者应包括所有参与方案制定人员。
保密声明。
临床研究人员姓名、职务、职称和任职部门。
4 研究摘要
目的
设计(受试人群及参研中心数、样本量、病人分组、干预措施、结局评价指标及统计方法等)
5 目录
6 正文
6.1 研究概论/背景以及立项理由
观察性研究:对所报告研究的背景和原理进行解释,提供研究脉络,定位研究在整个学科中所处的阶段,并描述研究的核心内容所在。在此基础上,总结所研究主题目前已经知道的和空白的点是什么。背景资料应注明目前相关的研究及系统综述。
证实性研究:申请者应提交一些有效的科学依据,包括预研情况、文献综述、临床前研究结果或本课题组既往所做与本次申请直接相关的研究工作,充分阐明申请此项课题的意义和研究基础。
6.2 目的
观察性研究:描述较好的目的会详细指明人群、暴露和结局、将要估计的参数,可以表述成具体的假说或者以问题的形式出现。如:探讨矽肺病宿主因素(文化程度、行为因素)、环境因素(居住条件、家庭和睦、经济状况、负性事件)与矽肺易感性的关系。
证实性研究:一般分为主要目的和次要目的,推荐一个研究尽量解决一个问题。如:本研究的主要目的是与盐酸曲马多缓释片比较,评估###对于经非甾体类止痛药物治疗疗效欠佳而需要阿片类药物控制疼痛的中度至重度肌肉骨骼源性疼痛患者治疗的有效性和安全性。
6.3 设计
6.3.1 研究现场或研究人群
观察性研究:
研究现场:描述研究现场、具体场所和相关时间范围(包括研究对象征集、暴露、随访和数据收集时间)。研究现场的信息包括研究对象征集地或来源(如选民名册,门诊登记,癌症登记,或三级医疗中心)。研究具体场所涉及到国家、城镇及医院等调查发生地。要写明具体时间而不仅仅描述持续时期。
l 研究对象:①队列研究:描述选择研究对象的合格标准、源人群和选择方法,描述随访方法;②病例对照研究:描述选择确诊病例和对照的合格标准、源人群和选择方法,描述选择病例和对照的原理;③横断面研究:描述选择研究对象的合格标准、源人群和选择方法;④如果研究为配对研究,需描述配对的因素及分组比例等如:“以我市某矿业公司两个矿区在2002~2004年由职业病诊断机构GBZ70-2002《尘肺病诊断标准》诊断的Ⅰ期矽肺男性患者为病例组;根据2∶1配比条件,同性别、同工种、同班组、同工龄、年龄相差不超过3岁、2004年摄胸片非矽肺接尘工人为对照组。”
证实性研究:
研究人群应该是该临床研究应用目标(总体)人群的相关研究(样本)人群。因此,在研究开始之前,研究者首先应根据研究的特性确定应用的适应症人群,并根据临床研究的特点和可能的影响因素,制定入选/排除标准,以确定本次临床试验的研究人群。
入选标准一般与年龄、性别、临床诊断和合并症有关。排除标准一般是为了保护受试者安全性而进行的选择。在设定入选排除标准的时候要注意不要选择过于宽泛的人群(导致观察不到期望的临床疗效);也不要选择过于限制的人群(限制了该临床科研的后期推广)。
6.3.2 病人的分组(是否随机,随机方法,是否设盲等)
针对证实性的随机对照试验(RCT),在临床研究中随机化可保证组间比较的均衡性;避免主观选择偏倚;是统计分析评价疗效和安全性的坚实的理论基础。在方案中,对于随机的描述可长可短,但最好写明谁产生分配序列,谁登记受试者,谁分配受试者。如:随机分组方案由统计专业人员按分段方法产生,研究者依据方案要求负责纳入受试者,当受试者符合纳入标准时,由药品管理人员按照就诊顺序发放相应的药物给受试者进行试验。
正确的应用盲法,可以最大效果的达到随机和评价准确客观的目的,当评价指标为主观结局指标时,盲法的应用格外重要。即使是开放性试验,盲法也是可以被应用的。如对于主观评价指标采取第三方评价。在进行盲法描述时,作者应说明对谁使用盲法(如病人、医生、评估者、监测者或资料分析者) ,盲的方法(如胶囊、片剂)及治疗措施特点的相似性(如外表、味道、给药方法以及模拟片的应用)。作者还应解释某些病人、医生和评价者未采用盲法的原因。
6.3.3 干预措施(何种干预预措、对照的选择等)
针对证实性的随机对照试验(RCT),作者应详细描述干预措施包括对照措施, 还应详细描述安慰剂的特征及如何伪装。对于对照的“常规干预措施”或联合干预措施更应详细描述。
在临床试验中设立对照组的主要目的,就是可以将所研究的干预因素给患者带来的效应(症状、体征或其它病情的改变)与其治疗过程中其它因素,如疾病的自然进展、研究者或患者的期望、其它治疗措施等非研究因素造成的效应区分开来。而对照的选择会影响到对试验的推理,被招募的受试者类型和募集的速度,研究结果的公众可信度等方面。
目前比较常见的对照有安慰剂和阳性药对照两种。方案中应写明选择该对照的原因。
方案中应描述对于研究药物的管理规定,比如药物储存、运输、交接、发放药物、回收药物、药物容器、标签以及药物管理记录的要求。
6.3.4 随访计划(随访的周期和内容)
无论对于观察性研究还是证实性研究,只要是有随访的研究,都需阐明临床试验持续时间及其确定理由。
以流程图或文字的形式,详细说明每一步骤的试验操作情况及随访时间,检查项目等。如:
6.3.5 主要测量指标或结局指标的选择和确认
观察性研究:
明确定义结局、暴露、预测因子、潜在的混杂因子和效应修饰因子(如果可能,给出诊断标准)。如:“病例组和对照组均采用统一的矽肺宿主、环境影响因素调查表。由本研究组(经统一培训)人员通过入户直接询问的方式调查。由被调查本人回答调查内容。调查项目有一般情况:姓名、年龄、民族、婚姻。宿主因素:文化程度(高中以上、初中以下)、个人行为(有无嗜烟、酒)。环境因素:居住条件(较好:人均10平方米及以上;较差:人均9.9平方米以下或简易棚居住者)、家庭和睦(和睦:无离婚史、无家庭暴力史;不和睦:有过离婚史及家庭暴力发生)、经济状况(好:家庭成员人均月收入500元及以上者;差:家庭成员人均月收入499元以下者)、家庭负性事件(被调查者在近10年内有无家庭成员去世或伤病住院)。”
证实性研究:
主要结局指标是估算样本量的重要指标,在方案中的主要指标应充分报告。对于次要指标也应列出完整定义。并且作者应充分描述主要结局指标和次要结局指标的测量方法,并说明为提高测量可信度是否采用了特殊措施。
结局指标一般分为有效性指标:主要、次要指标;安全性指标:不良事件、实验室检查、生命体征检查等。如:“主要疗效指标:阳性症状4项指标刀割样痛、烧灼感、针刺痛、麻木的总体症状评分(Total Symptoms Score ,TSS)改善情况。次要疗效指标:①周围神经机能临床检查变化的评价②糖尿病病情控制指标(空腹静脉血糖、糖化血红蛋白和空腹胰岛素)的变化”。
6.3.6 样本量的计算和推理
涉及新诊断、治疗、评估及其他干预方法的临床研究,鼓励设置预实验,以评估新方法的安全性,在证实安全性的基础上再进行有效性等方面的评估。
观察性研究样本量的计算依赖于研究背景。一般在研究计划早期计算样本量,这种计算的不确定性高于证实性研究中的样本量估算,但是仍鼓励申办者正式恰当地报告样本量的计算。其他情况下,作者应该指明样本大小的确定方法。
在证实性研究中所需样本量与研究目的、观察指标的性质、个体间变异程度有关,还与假设检验的具体内容以及I、II型误差、组间客观差异的大小有关,不同类型研究设计对样本量也有影响。而以上参数,可以通过同类研究的文献回顾或者是小样本的预调查而获得。样本量描述举例如下:
为评价##药治疗骨骼源性疼痛患者的有效性和安全性,为阳性对照药的平行设计,采用非劣效性评价方法。假设检验为:
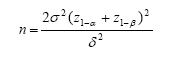
其中, 和μT和μC分别为试验药和对照药治疗后疼痛评分相对于基线的差值;δ为非劣效界值。单组样本计算公式如下,单侧检验,检验水准为0.025,power定为85%。根据公式
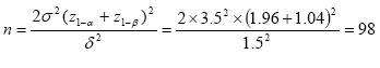
n =每组样本量;σ = 标准差;Ζ1-α=Ζ0.975 = 1.96;Ζ1-β=Ζ0.85 =1.04。根据已有研究文献报道σ 取3.5,δ取1.5,带入上述公式,如下:
计算得每组需要样本98 例,两组病例按1:1 分配,考虑30%的脱落率,则需入选260-280例病人,以保证200 例病人完成试验。
6.4 数据管理
6.4.1 数据录入(选择纸质/电子记录表格,是否双录入,是否电子化数据采集系统等)
应详细描述数据来源以及数据传递过程和手段,若有中心实验室,也应写明中心实验室数据导入数据管理系统的过程。如:研究者根据受试者的原始观察记录,将数据及时、完整、正确、清晰地载入病例报告表。经过监察员审核、签字后的调查表应及时送交临床研究数据管理员。
录入采用相应的数据库系统双人双机录入,之后对数据库进行两遍比对,期间若发现问题及时通知监查员,要求研究者做出回答。他们之间的各种疑问及解答的交换应当采用疑问表形式,疑问表应保存备查。
6.4.2 数据核查和管理的内容和方式
需在方案中写清数据核查要点和过程,以及对数据锁定的要求。如:当所有病例报告表经双份输入并核对无误后,由数据管理员写出数据库检查报告,其内容包括研究完成情况(含脱落受试者清单)、入选/排除标准检查、完整性检查、逻辑一致性检查、离群数据检查、时间窗检查、合并用药检查、不良事件检查等。
在审核会议上,由主要研究者、申办单位代表、监查员、数据管理员和统计人员对受试者签署知情同意书、数据库检查报告中提出的问题做出决议,写出审核报告,数据库同时将被锁定。
6.4.3 数据存档
如:病例报告表在按要求完成数据录入和核查后,按编号的顺序归档保存,并填有检索目录等,以备查考。电子数据文件包括数据库、检查程序、分析程序、分析结果、编码本和说明文件等,应分类保存,并有多个备份保存于不同磁盘或记录介质上,妥善保存,防止损坏。所有原始档案应按相应规定内的期限保存。
6.5 统计分析
观察性研究:①描述所有统计学方法,包括控制混杂方法。②描述亚组和交互作用检查方法。③描述缺失值处理方法。④队列研究:如果可能,解释失访的处理方法;病例对照研究:如果可能,解释病例和对照的匹配方法;横断面研究:如果可能,描述根据抽样策略确定的统计方法。⑤描述敏感度分析。
证实性研究:①描述统计分析人群:明确说明对各种类型的偏离方案、病例退出及缺失值的处理方法,根据意向性分析(Intention-to-Treat,简称ITT)的基本原则,主要指标的分析应包括所有随机化的受试者,无论其是否完成试验。因此,常采用全分析集进行分析。②描述缺失值处理方法:在选择全分析集进行统计分析时,对主要指标缺失值的估计,可以采用最接近的一次观察值进行结转,如在评价磁疗仪减轻疼痛的随机双盲临床试验中,有一病例在随机入组治疗2周后失访,试验评价的终点是治疗后4周,这例患者的疗效指标可采用第2周随访时所记录的观察值。③描述详细的统计方法,包括基线分析、主要疗效指标、次要疗效指标、安全性指标、依从性指标等的分析原则。
6.6 安全性评价
无论是观察性研究还是证实性研究,尤其是在有干预的情况下,都应该对安全性进行评价。对临床研究中出现的明显不良反应进行监测十分重要。应该尽可能综合的从这些病人中搜集相关的安全信息。在分析过程中所有的安全变量都应该引起足够的重视,应该仔细记录所有出现的不良事件。尤其应该报告那些导致了入院治疗,住院时间延长以及另外进行手术或内科治疗或死亡的事件。
6.6.1 不良事件(AE)和严重不良事件(SAE)的概念
不良事件是病人或临床试验受试者接受一种治疗后出现的不良医学事件,但并不一定与治疗有因果关系,它可能是新的疾病、治疗时症状或体征的恶化、伴随疾病的恶化、对照药物的作用或与参加该试验无关。不良反应的评价按与受试产品肯定有关、很可能有关、可能有关、可能无关、肯定无关等五级评价,前三者计为不良反应发生率。严重不良事件是临床试验过程中发生需住院治疗、延长住院时间、伤残、影响工作能力、对器官功能产生永久损伤、危及生命或死亡、致癌、致畸、致出生缺陷等事件。
6.6.2 不良事件的报告
如发生任何严重不良事件或重要的不良事件,无论是否与研究干预有关,也无论是否已实施干预操作,均必须在发生/获知24小时内通过电话/传真通知申办者。
6.7 受试者保护(知情同意、受试者利益与风险、保密、利益冲突等伦理考虑)
在试验方案及受试者知情同意书未提交并获得伦理委员会批准之前,试验不得开始。如果进行方案修订,只有相应修订部分及修订的知情同意书(如果存在)经伦理委员会审阅并获批准后才能开始执行,并要求将伦理委员会批件的复印件提供给临床监查员。如果方案的修订旨在降低受试者的明确危险,则可以立即实施,但必须尽快提交相关部门及伦理委员会备案。
根据中国相关法规规定,试验开始前,研究者应就研究的背景、性质、意义、步骤、受益、风险、补偿、损伤赔偿、退出等向受试者作出书面和口头的解释,必须获得每一位受试者(或受试者法定代理人)签署的知情同意书。知情同意书要标明日期,知情同意书及其副本由研究者和受试者分别保存。知情同意书设计可参考河北医科大学第二医院科研伦理委员会提供的《知情同意书模板》。
6.8 研究管理
研究主要环节质量控制,如临床研究过程的质量控制、实验室流程、数据管理质量控制,人员培训等。
6.8.1 方案修改(定义项目开始后方案修改的原则及流程)
可能由于监查人员发现不遵守入选标准的现象持续存在导致了变化,也可能是由于入选标准过于严格导致了招募人数过低。研究方案中对于这部分的变化进行的修订应该考虑到任何统计学上的影响,如,由于事件发生率变化引起的样本量调整,或是对于分析计划进行的修订。
6.8.2 质量管理(项目监查计划)
定义主要监查指标及内容,监查次数等。如:试验研究过程中,由申办者指派临床监查员,定期对研究单位进行现场监督访问,以保证研究方案的所有内容都得到严格遵守,以及填写资料的正确无误。试验中心应客观、真实地记录和保留试验研究过程中所有的数据和方案执行、修改的情况。在招募病人阶段,应该尽可能保证入选/排除标准的一致性。
具体监察内容有:
1.验证方案报送伦理委员会审批。
2.参加本验证的研究人员验证前、中、后认真执行临床验证标准操作规程。
3.验证过程中接受临床试验研究单位和实施者的监查员对CRF中的数据的正确性与完整性进行监视。
4.参加研究人员必须经过统一培训,统一记录方式与判断标准。
5.研究者应按病例报告表填写要求,如实、详细、认真记录CRF中各项内容,以确保病例报告表内容真实、可靠。
6.临床验证中所有观察结果和发现都应加以核实,以保证数据的可靠性,确保临床验证中各项结论来源于原始数据,在临床验证和数据处理中均有相应的数据管理措施。
6.8.3 提前终止
定义提前终止研究的原则及处理办法,如:
1. 试验中发现严重安全性问题, 应及时终止临床试验。
2. 试验中发现试验药物治疗效果太差,甚至无效,不具备临床价值。
3. 试验中发现所定临床试验方案有重大失误,难以评价药物效应;或在实施中发现了严重偏差,难以评价药物效应。
4. 申请人要求终止或行政管理部门要求终止实验。
6.9 流程与进度 (项目进度安排,如甘特图等)
6.10 组织管理
6.10.1 项目组织框架图
6.10.2 参加单位(各参加单位基本情况介绍,课题任务分工说明)
7 参考文献
8 附件
病例报告表(CRF)